Висше транспортно училище “ Тодор Каблешков “
М Е Т О Д И Ч Е С К И У К А З А Н И Я
ЗА ПРЕСМЯТАНЕ НА
КУРСОВИ ЗАДАЧИ ПО ПРЕХОДНИ ПРОЦЕСИ ПО ДИСЦИПЛИНАТА
ТЕОРИТИЧНА ЕЛЕКТРОТЕХНИКА
Класически метод
Решаването на задачи от преходни процеси в електрическите вериги се характеризира с някои особености, което налага добро познаване на методите за решаване на задачите от установени режими и използването на сложния математичния апарат за решаване на диференциални уравнения. Многообразието на задачите, зависи от това дали източниците на електродвижещи сигнали са постоянни или променливи, топологията на електрическата верига, броя и вида на реактивните елементи. Всичко това се отразява на конкретния вид и реда на системата от диференциални уравнения, удовлетворяваща преходния процес в електрическата верига. Независимо от това решението се подчинява на определени правила и последователност, които са приложени към примерна електрическа верига, чиято схема е показана на фиг.1.

За веригата показана на схемата e дадено:
E = 100,V ; L = 40/3,mH ; C = 25,
; R = 10,
.
Търси се: Изменението
на напрежението върху изводите на кондезатора
и токът през резистора
след затваряне на ключа.
1. ОПРЕДЕЛЯНЕ НА НЕЗАВИСИМИТЕ НАЧАЛНИ УСЛОВИЯ
В разглежданата верига те са нулеви т.е.
:
и
, ( 1 )
защото преди комутацията
( отворен ключ ), токът през бобината и напрежението на изводите на кондензатора са равни на нула.Забележка: За електрически вериги в които
и / или
са различни от нула,
началните условия се определят от установения
режим във веригата преди комутацията.
2. СЪСТАВЯНЕ НА СИСТЕМАТА ОТ ДИФЕРЕНЦИАЛНИ УРАВНЕНИЯ ОПИСВАЩИ ПРЕХОДНИЯ ПРОЦЕС В ЕЛЕКТРИЧЕСКАТА ВЕРИГА
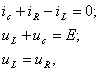
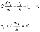
По законите на Кирхоф се записва:
( 2 )
от
където системата от диференциални уравнения придобива вида:
( 3 )
3. НАМИРАНЕ НА ХАРАКТЕРИСТИЧНОТО УРАВНЕНИЕ
Комутацията в даден клон от електрическата верига предизвиква преходен процес в цялата верига. За да определим интересуващата ни преходна функция в съответния клон
, трябва използвайки ( 3 ) да получим диференциалното уравнение, което я описва. На базата на полученото диференциалното уравнение се записва неговото характеристично уравнение, което е необходимо за решаване на първото.Забележка: Преходните процеси в линейни електрически вериги се описват с линейни диференциални уравнения с постоянни коефициенти [1].
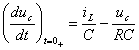
Диференциалното
уравнение описващо изменението на напрежението
през кондензатора
по време на преходния процес е от втори ред и се
получава по следния начин:
. ( 4 )
, ( 5 )
определено от второто уравнение на
( 3 ) в ( 4 ) и се получава търсеното нехомогенно диференциално уравнение:
( 6 )
Характеристичното уравнение на хомогенното диференциално уравнение
( уравнение ( 6 ) приравнено на нула ) e от втора степен и има вида:
( 7 )
Известни са и други начини за определяне на характеристичното уравнение[2]:
- посредством алгебраизация на системата ( 3 ).
Състои се в заместване на операцията диференциране с к
():
( 8 )
След приравняване на нула на детерминантата
( 9 ) , образувана от
( 9 )
коефициентите пред символичните неизвестни
- посредством търсене на входния комплексния импеданс на електрическата верига след комутацията.
След намирането му
( 10 ), комплексния импеданс -се приравнява на нула и
се замества
. Полученото уравнение е
характеристичното уравнение на ( 6 ) и има същия вид като ( 7 ).
Последните два начина, макар и косвени , позволяват по- лесно определяне на
характеристичното уравнение.
( 10 )
4. РЕШАВАНЕ НА ХАРАКТЕРИСТИЧНОТО УРАВНЕНИЕ
След заместване на L , C и R в ( 7 ) се решава уравнението и се получават два
реални корена
( к1
( 11 )
Забележка:
Съотношението на параметрите –
R , L и С на електрическата
верига оказва влияние на скоростта на преходния
процес. Коефициентите пред променливата к
в ( 7 ) са
функция на тези параметри и в този смисъл
стойностите им са показател за времетраенето на
преходния процес -
.
Диференциалното уравнение
( 6 ) е нехомогенно ( дясна частна решението му
( общия интеграл ) е от вида [1]:
, ( 12 )
където:
решение на
нехомогенното диференциално уравнение ( 7 ) или неговия общ интеграл;
установена (стационарна )
съставка или частен интеграл
на нехомогенното
диференциално уравнение ;
преходна съставка
или общ интеграл на
хомогенното диференциално уравнение
;
интеграционни
константи.
Забележка
: Когато характеристичното уравнение ( 7 ) има кратни корени - критично апериодичен режим ( к1=к2 ;D=0 ) или комплексни корени – псевдопериодичен режим ( D<0 ), общия вид на решението е различен от ( 12 )[3].- полага се в ( 12 ) t = 0 и като се вземат в предвид независимите начални
условия ( 1 ) се получава:
( 13 )
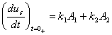
- диференцира се ( 12 ), полага се t = 0 и се стига до израза:
. ( 14 )
Ако се определи производната
, която се явява
зависиво начално условие,
може да се състави система от алгебричните
уравнения ( 13 ) и ( 14 ) и да се пресметне А1 и А2 .
Забележка:
Зависимите начални условия се
намират , като се реши системата уравнения,
съставена за момента
и се използват независимите начални
условия , началните стойности на
електродвижещите източници и параметрите на
веригата.
- пресмята се производната
, като в първото уравнение на ( 3 ) се
полага t = 0+ и използвайки независимите начални условия ( 1 ) се получава:
( 15 )
( 16 )
След заместване на
E, A1, A2, k1, и k2 в ( 12 ), за преходната функция нанапрежението
през кондензатора - uc (t) се получава:
. ( 17 )
Преходната функция на тока –
iR (t) през клона с резистора R e:
. ( 18 )
Също така може да се намерят
Забележка
: Преходният процес теоритично затихва за безкрайно дълго време.В действителност това става за крайно време от порядъка на 5На фиг.2 е изобразено изменението на
,
и
, а на фиг. 3 -
![]()

фиг. 2

фиг. 3
Литература
1. Димова В. и др. Методическо ръководство за решаване на задачи по висша математика – IV част, “ Техника “, София, 1975г.;
2. Бессонов Л. А. Теоритические основы Электротехнники, “Высшая школа”, Москва,1984;
3. Фархи С., Папазов С. Теоритична електротехника – I част, “ Техника “, София, 1987г.;
2006г. Съставил: / гл. ас. инж. Д. Данаилов /
Публикации в периода 2001 – 200
9 г.на
гл.ас. инж. Данаил Йовчев Данаилов
1. D. Y. Danailov Three – phase transformer transients . “ MEET ‘ 2002 ” , Varna , 7 – 11.10. 02 y.
2. Д. Данаилов , Ч. Джамбазки Преходен процес при включване на силов трансформатор на празен ход ,
сп. “ Железопътен транспорт “, бр. 1 , 2003 г.
3. Д. Данаилов , Ч. Джамбазки Модернизация на електрическите локомотиви “ Шкода “ с внедряване на Рекуперативно спиране. , сп. “ Железопътен транспорт “, 2003 г.( към 1.11. 2003 г. още не публикувана )
4. Danailov D. Y.Mathematical modelling of transient processes in electric drive circuit : drive substation , contact network , electric locomotive . “ 11 International Scientific Conference, Zilina, 17 – 19 September 2003, Slovak Republic
5. Георги Димитров, Данаил Данаилов, Чавдар Джамбазки Изследване изменението на електрическите загуби в трансформаторните постове във ВТУ “ Тодор Каблешков “ при различни схеми за захранване на главните консуматори. Тринадесета научна конференция –“Транспорт 2003 “,13 – 14 ноември 2003 г. , София.
6. D. Danailov Mathematical model of transient process in three – phase transformer.Forms/Format ‘2004, 2 - 3.12.04, Braunschweig, Germany
7. Danailov D.Y., Danailova R.D., Dimitrov G. I. Simulation Of Transient Process In Three - Phase Transformer.
14th International Symposium, Eurnex - Zel 2006 “Towards the competitive rail systems in Europe” 30th - 31st May 2006 Zilina, Slovak Republic, EU8. Danailov D. Y. Mathematical Modelling Of Transient Processes In Electric Drive Circuit On Electric Locomotive Mould “ ЉKODA 43 “ . 14th International Symposium, Eurnex – Zel 2006 “Towards the competitive rail systems in Europe” 30th - 31st May 2006 Zilina, Slovak Republic, EU
НИП на тема:
Математическо моделиране на електромагнитните преходни процеси в нелинейни
многоконтурни тягови
електрически вериги посредством “ Matlab “
консултации- четвъртък 13.30-15.30